Bremsenüberholung
-
Rostklopfer
- Posts: 194
- Joined: 02 Sep 2014, 17:43
Bremsenüberholung
Hallo ! Hat jemand die Drehmomente , mit denen die Schrauben der Girlingbremse angezogen werden ?
Vielen Dank im Vorraus : Rostklopfer
Vielen Dank im Vorraus : Rostklopfer
Re: Bremsenüberholung
Hallo liebe Bremsenspezies,
ich hole hier nochmal einen Beitrag hoch, der für die Allgemeinheit leider unbeantwortet blieb...
Da es zur vernünftigen Aufbereitung der Girling Bremssättel unerlässlich ist diese in zwei Hälften zu zerlegen, kommt die Frage nach den Anzugsmomenten beim anschließenden Zusammenbau unweigerlich auf. Da es sich nun mal um sicherheitsrelevante Teile handelt sollten die Angaben verlässlich sein.
Die vorderen Sättel verfügen pro Seite über insgesamt 4 Stck. Zoll UNF Feingewindeschrauben, wovon jeweils 2 der Dimension 7/16" x 2 1/4“ (genau 55mm lang) bzw. 5/16“ x 2 1/4“ (genau 58mm lang ) sind.
Die hinteren verfügen nur über 3 Stck. Zoll UNF Feingewindeschrauben, 2 der Dimension 3/8“ x 2“ (genau 48mm lang) und 1 der Dimension 5/16“ x 2“ (genau 48mm lang).
Soweit so gut, jetzt konnte ich allerdigs an verschiedenen Kopfprägungen feststellen, dass deutsche Schrauben (man beachte in Zollabmessungen!) verbaut wurden. Das erscheint zunächst ja nicht weiter schlimm, aber die haben so hohe Festigkeiten z.B. Hersteller Ribe mit Kopfprägung F125V, was 1250 N/mm zum Quadrat entspricht (mehr als 12.9)!
Ich habe festgestellt dass bei den UNF Schraubenlieferanten üblicherweise bei Festigkeitsklasse Grade 8 (=10.9) Schluss ist, daher findet man (ich) in den Listen im Netz auch keine Werte zu den Anzugsmomenten mit noch höherer Festigkeit...
Noch interessanter wird die Suche nach Schraubenersatz, wer hier weiterhelfen kann muss scheinbar schon mehr drauf haben...
Dann mal los
Gruß
Dirk
ich hole hier nochmal einen Beitrag hoch, der für die Allgemeinheit leider unbeantwortet blieb...
Da es zur vernünftigen Aufbereitung der Girling Bremssättel unerlässlich ist diese in zwei Hälften zu zerlegen, kommt die Frage nach den Anzugsmomenten beim anschließenden Zusammenbau unweigerlich auf. Da es sich nun mal um sicherheitsrelevante Teile handelt sollten die Angaben verlässlich sein.
Die vorderen Sättel verfügen pro Seite über insgesamt 4 Stck. Zoll UNF Feingewindeschrauben, wovon jeweils 2 der Dimension 7/16" x 2 1/4“ (genau 55mm lang) bzw. 5/16“ x 2 1/4“ (genau 58mm lang ) sind.
Die hinteren verfügen nur über 3 Stck. Zoll UNF Feingewindeschrauben, 2 der Dimension 3/8“ x 2“ (genau 48mm lang) und 1 der Dimension 5/16“ x 2“ (genau 48mm lang).
Soweit so gut, jetzt konnte ich allerdigs an verschiedenen Kopfprägungen feststellen, dass deutsche Schrauben (man beachte in Zollabmessungen!) verbaut wurden. Das erscheint zunächst ja nicht weiter schlimm, aber die haben so hohe Festigkeiten z.B. Hersteller Ribe mit Kopfprägung F125V, was 1250 N/mm zum Quadrat entspricht (mehr als 12.9)!
Ich habe festgestellt dass bei den UNF Schraubenlieferanten üblicherweise bei Festigkeitsklasse Grade 8 (=10.9) Schluss ist, daher findet man (ich) in den Listen im Netz auch keine Werte zu den Anzugsmomenten mit noch höherer Festigkeit...
Noch interessanter wird die Suche nach Schraubenersatz, wer hier weiterhelfen kann muss scheinbar schon mehr drauf haben...
Dann mal los
Gruß
Dirk
- Saar_Coupe
- Posts: 177
- Joined: 12 Aug 2017, 16:38
- Location: Saarland
Re: Bremsenüberholung
Hi Dirk,
die Festigkeitsklasse gibt ja nur das maximum für die Schraube wieder.
Das Drehmoment für deine Anwendung ist relevant. Solange dieses Drehmoment unter der maximalen Belastbarkeit der Schraube bleibt ist die Welt aus meiner Sicht in Ordnung.
die Festigkeitsklasse gibt ja nur das maximum für die Schraube wieder.
Das Drehmoment für deine Anwendung ist relevant. Solange dieses Drehmoment unter der maximalen Belastbarkeit der Schraube bleibt ist die Welt aus meiner Sicht in Ordnung.
Grüße von der Saar,
Stefan
Stefan
Re: Bremsenüberholung
Hallo Stefan,
grundsätzlich klingt das logisch, aber wer verbaut so hochfeste Schrauben wenn nicht auch eine entsprechende Vorspannung erforderlich ist?
Im Fall der geteilten Bremssättel muss die Verschraubung immerhin die doch erheblichen Hydraulikkräfte aufnehmen können...
In Anbetracht des Kostendrucks im Automobilbau ist zudem nicht wirklich nachvollziehbar warum man so teure Schrauben verbauen sollte, wenn nicht erforderlich.
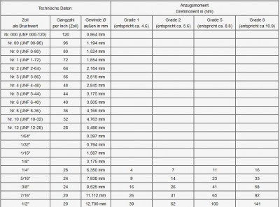
Ich tue mich ja zugegeben ein bisschen schwer die "Schräubchen" fast mit einem Drehmomt anzuziehen mit dem ich bei meinem Alltagsauto die Radmuttern anziehe. Laut angehängter Tabelle wären das bei der 7/16" (10.9) Schraube immerhin 92Nm bei 12.9 wohl noch etwas mehr!
Ich lass mich mal überraschen, ob einer die korrekten Werte findet!?
Danke für Dein Feedback Stefan
Gruß
Dirk
grundsätzlich klingt das logisch, aber wer verbaut so hochfeste Schrauben wenn nicht auch eine entsprechende Vorspannung erforderlich ist?
Im Fall der geteilten Bremssättel muss die Verschraubung immerhin die doch erheblichen Hydraulikkräfte aufnehmen können...
In Anbetracht des Kostendrucks im Automobilbau ist zudem nicht wirklich nachvollziehbar warum man so teure Schrauben verbauen sollte, wenn nicht erforderlich.
Ich tue mich ja zugegeben ein bisschen schwer die "Schräubchen" fast mit einem Drehmomt anzuziehen mit dem ich bei meinem Alltagsauto die Radmuttern anziehe. Laut angehängter Tabelle wären das bei der 7/16" (10.9) Schraube immerhin 92Nm bei 12.9 wohl noch etwas mehr!
Ich lass mich mal überraschen, ob einer die korrekten Werte findet!?
Danke für Dein Feedback Stefan
Gruß
Dirk
Re: Bremsenüberholung
die lancia girling bremszangen sind mehr oder minder M16 Bremssättel mit 4 und davon 2 unterschiedlich großen kolben. befestigungs-lochmass identisch mit den typischen und millionenfach verbauten (ford, tiumph, rolls, austin, lotus, tvr, kitcars etc) M16 bremszangen bzw die hinteren entsprechen bremsbelagmässig dem M16 (komatibilität bremsbeläge = ford)
bei den 7/16 schrauben werden hier 70lbs/ft verwendet. bei den 3/8 schrauben 40lbs/ft
anzugsmomente basieren in erster linie auf schraubendurchmesser und gewinde-steigung.
man sollte hier einfach dinge nicht überkomplizieren.
an den 4 schrauben, welche die bremszangen-hälften zusammenhalten, könntest von der last her nen LKW daran aufhängen.
bei den 7/16 schrauben werden hier 70lbs/ft verwendet. bei den 3/8 schrauben 40lbs/ft
anzugsmomente basieren in erster linie auf schraubendurchmesser und gewinde-steigung.
man sollte hier einfach dinge nicht überkomplizieren.
an den 4 schrauben, welche die bremszangen-hälften zusammenhalten, könntest von der last her nen LKW daran aufhängen.
Re: Bremsenüberholung
Hallo Alfas,
ich freue mich über jeden Beitrag der dieses Forum belebt, so sei auch Dir gedankt!
Zur allgemeinen Information sei gesagt, daß es sich bei den vorderen Fulvia Girling Sätteln um den Typ " M12+8QD" und bei den hinteren um "8LF" handelt (s. Anhang), der M16 ist dem hinteren höchstens optisch ähnlich, aber eben nicht gleich...
Die Deinerseits genannten Anzugsmomente entsprechen mit umgerechnet 95 bzw. 54Nm den von mir aufgezeigten, also doch recht hoch!
P.S.: Ich bin mir nicht so sicher ob man mit der Kraft der Hydraulikbremszylinder nicht einen LKW anheben könnte...
Wir nähern uns dem Ergebnis
gute Nacht
Dirk
ich freue mich über jeden Beitrag der dieses Forum belebt, so sei auch Dir gedankt!
Zur allgemeinen Information sei gesagt, daß es sich bei den vorderen Fulvia Girling Sätteln um den Typ " M12+8QD" und bei den hinteren um "8LF" handelt (s. Anhang), der M16 ist dem hinteren höchstens optisch ähnlich, aber eben nicht gleich...
Die Deinerseits genannten Anzugsmomente entsprechen mit umgerechnet 95 bzw. 54Nm den von mir aufgezeigten, also doch recht hoch!
P.S.: Ich bin mir nicht so sicher ob man mit der Kraft der Hydraulikbremszylinder nicht einen LKW anheben könnte...
Wir nähern uns dem Ergebnis
gute Nacht
Dirk
Re: Bremsenüberholung
Moin Dirk,
wenn du Bedenken bezüglich der Schraubengüte hast, such doch mal bei ARP.
Ich verwende an hoch belasteten Schraubverbindungen (z.B. Pleuel, Schwungscheiben) regelmäßig ARP-Schrauben. Dort kann man Dir sicher helfen..
https://arpinstructions.com/generaltorque.html
https://arpcatalog.com/?src=home
Gruß, Ali
wenn du Bedenken bezüglich der Schraubengüte hast, such doch mal bei ARP.
Ich verwende an hoch belasteten Schraubverbindungen (z.B. Pleuel, Schwungscheiben) regelmäßig ARP-Schrauben. Dort kann man Dir sicher helfen..
https://arpinstructions.com/generaltorque.html
https://arpcatalog.com/?src=home
Gruß, Ali
Re: Bremsenüberholung
Hallo Ali,
vielen Dank, die genannte Bezugsquelle zeigt ja erste Lichtblicke in Sachen Beschaffung auf!
Die ein oder andere Bremssattelschraube sieht nach fast 50 Jahren doch nicht mehr so wirklich vertrauensvoll aus. Das nächste Problem werden wohl die „Minder“- Mengen sein, wenn man nicht einen Karton voll abnehmen möchte.
Bezüglich der verlässlichen Anzugsmomente speziell für die Girling Sättel mache ich mir schon fast keine großen Hoffnungen mehr, orientiert man sich an den Standard Werten der Tabellen kann man in Anbetracht der Höhe nur hoffen, dass alles gut geht (Gewinde im Guss der Sättel).
Stefan hatte ja schon angedeutet, dass hochfeste Schrauben je nach Anwendung nicht immer bis zur Streckgrenze angezogen werden müssen…
Na, vielleicht kommt ja noch die entscheidende Info?
Gruß
Dirk
vielen Dank, die genannte Bezugsquelle zeigt ja erste Lichtblicke in Sachen Beschaffung auf!
Die ein oder andere Bremssattelschraube sieht nach fast 50 Jahren doch nicht mehr so wirklich vertrauensvoll aus. Das nächste Problem werden wohl die „Minder“- Mengen sein, wenn man nicht einen Karton voll abnehmen möchte.
Bezüglich der verlässlichen Anzugsmomente speziell für die Girling Sättel mache ich mir schon fast keine großen Hoffnungen mehr, orientiert man sich an den Standard Werten der Tabellen kann man in Anbetracht der Höhe nur hoffen, dass alles gut geht (Gewinde im Guss der Sättel).
Stefan hatte ja schon angedeutet, dass hochfeste Schrauben je nach Anwendung nicht immer bis zur Streckgrenze angezogen werden müssen…
Na, vielleicht kommt ja noch die entscheidende Info?
Gruß
Dirk
Re: Bremsenüberholung
Ich habe das Lösemoment beim Zerlegen ermittelt.
Die kleinen Schrauben habe ich in der Folge mit 35 Nm angezogen. Die grosse Schraube mit 45 Nm.
Eingefettet vor der Montage. Dicht und hält seit 2002.
Muss aber jeder selbst entscheiden.
Wichtig: Schrauben nur reinigen und nicht verzinken lassen weil man es gut meint. Bei hochfesten Schrauben kommt es
zur Wasserstoffversprödung die durch die Vorspannung dann zum Bruch führt.
Gruß Andreas
Die kleinen Schrauben habe ich in der Folge mit 35 Nm angezogen. Die grosse Schraube mit 45 Nm.
Eingefettet vor der Montage. Dicht und hält seit 2002.
Muss aber jeder selbst entscheiden.
Wichtig: Schrauben nur reinigen und nicht verzinken lassen weil man es gut meint. Bei hochfesten Schrauben kommt es
zur Wasserstoffversprödung die durch die Vorspannung dann zum Bruch führt.
Gruß Andreas